
Better Spirit para la industria de las bebidas espirituosas
Better Spirit is a further development of the VINOflux system described in the appendix, which is used, among other things, to optimize Better Spirit es una evolución del sistema VINOflux descrito en el anexo, que se utiliza, entre otras cosas, para optimizar el perfil tánico de los vinos tintos y esterilizarlos antes del embotellado.
Better Spirit sirve para optimizar los licores.
Esto puede eliminarse tratándolos con Better Spirit durante aprox. 1 minuto, sin que ello afecte al aroma ni al sabor. De este modo, la percepción de las bebidas espirituosas se intensifica claramente y la experiencia de beber y saborear adquiere un nuevo valor.
Como resultado, la percepción de la bebida espirituosa se vuelve mucho más compleja y los entendidos pueden experimentar una variedad de matices de sabor que antes no percibían.
Better Spirit se basa en un proceso puramente físico sin uso de productos químicos.
En este proceso, el aguardiente se bombea desde un depósito lleno a través del sistema Better Spirit hasta un depósito vacío antes de embotellarlo. A continuación, puede embotellarse.

La Fig. 1 muestra el sistema Better Spirit y la
Las pruebas realizadas con un ron joven tratado con Better Spirit y un ron de 26 años sin tratar demostraron que el tratamiento Better Spirit influye en la composición química del aguardiente (acetato de etilo, decanoato de etilo, sinapaldehído, etc.) de forma similar al proceso de envejecimiento natural.

Fig. 2 un diagrama del montaje básico.

Better Spirit en el bar y el restaurante
Better Spirit also has a variant that is interesting for bartenders and innkeepers. This can be used to treat small quantities of spirits in shot glasses and cocktail glasses.
Fig. 3 shows such a system.
Concierte ya su cita de presentación personal.
Anexo
Breve descripción de VINOflux (como predecesor de Better Spirit)
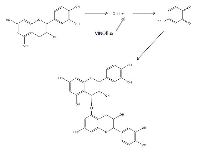
La mayoría de los vinos tintos son algo ásperos al paladar tras el proceso de fermentación. Esto se debe a los taninos y flavónidos, presentes principalmente en forma de monómeros. Los vinos se almacenan en depósitos durante varios meses antes de ser embotellados. Durante este proceso se produce una lenta polimerización de los taninos y flavónidos, que los hace más suaves y agradables al paladar.
VINOflux acorta esta maduración a aproximadamente 1 minuto mediante un proceso puramente físico sin utilizar productos químicos.
En este proceso, el vino se bombea desde un depósito lleno a través del sistema VINOflux hasta un depósito vacío. A continuación, el vino puede embotellarse.
El sistema VINOflux se corresponde con el sistema Better Spirit de la Fig. 1 en cuanto a estructura y proceso.
La Fig. 4 muestra una reacción típica del proceso de polimerización de taninos.
VINOflux ofrece al vinicultor las siguientes ventajas:
- Optimización del perfil tánico fácil de llevar a cabo
- Retorno de la inversión más temprano al acelerar el proceso de maduración de los vinos
- Desgerminación de vinos

Fig. 4: Ejemplo del proceso de polimerización de los taninos